js
Subscribe to:
Post Comments (Atom)
AHSEC| CLASS 12| GEOGRAPHY| SOLVED PAPER - 2017| H.S. 2ND YEAR
AHSEC| CLASS 12| GEOGRAPHY| SOLVED PAPER - 2017| H.S. 2ND YEAR 2017 GEOGRAPHY Full Marks: 70 Pass Marks: 21 Time: 3 hours The figures in ...
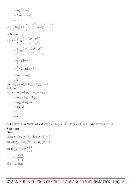
-
অধ্যায়-১২ বিদ্যুৎ নির্বাচিত প্রশ্নোত্তৰ প্রশ্নঃ তাঁৰ এডালৰ দৈর্ঘ্য দুগুণলৈ বৃদ্ধি কৰিলে এমিটাৰৰ পাঠৰ কি পৰিৱৰ্তন হয়? উত্তৰঃ এমিট...
-
ণত্ব বিধি আৰু ষত্ব বিধি ণত্ব বিধিঃ ণত্ব বিধিঃ যি বিধি বা নিয়মৰ দ্বাৰা শব্দ একোটাৰ দন্ত্য 'ন’ই মূদ্ধণ্য ‘ণ’ৰ ৰূপ লয়, তাকে ণত্ব বিধ...
-
Introduction Vegetable crops require frequent irrigation for better growth and development. Irrigation requirement may vary from crop...


















No comments:
Post a Comment